I. ITINERARI DE LA PERSONA: PROCÉS D’INTERVENCIÓ I AVALUACIÓ
1. Fluxograma del procés d’intervenció i avaluació

2. Descripció del procés
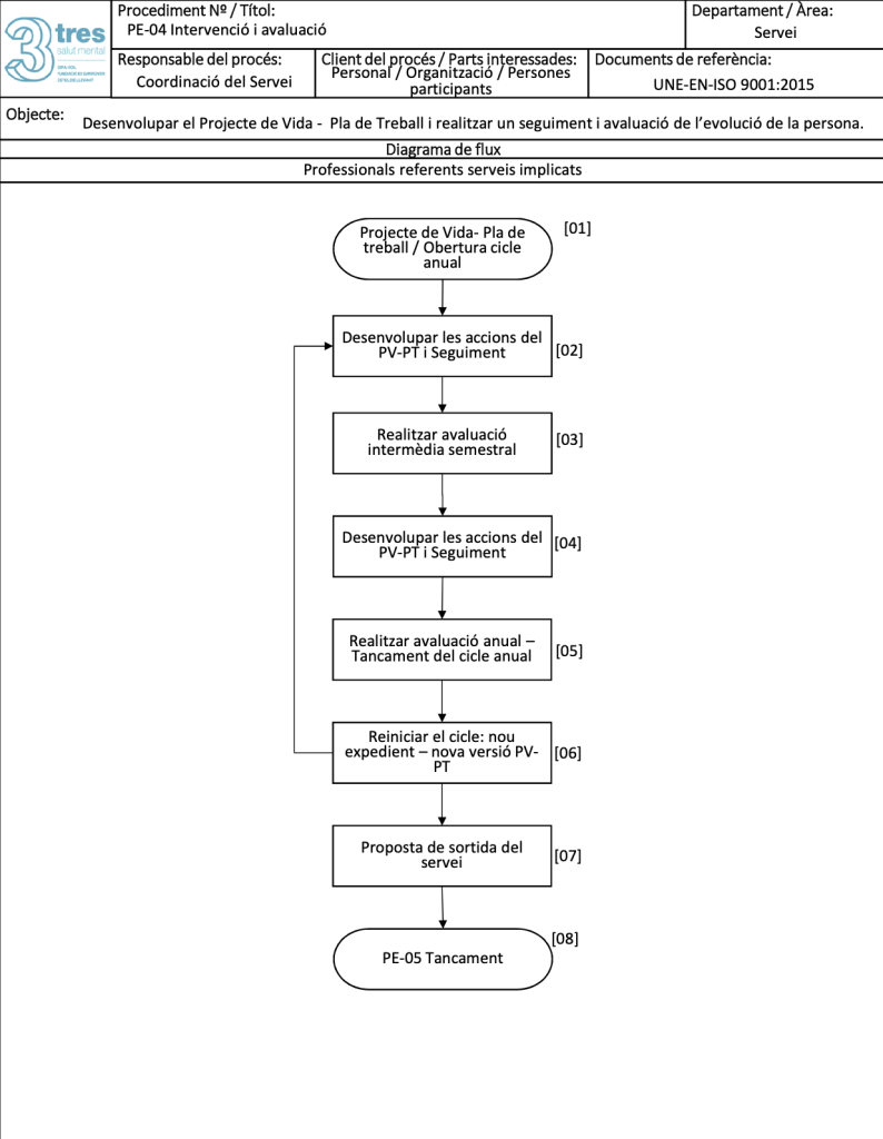
[01] Aquest procés s’inicia amb la posada en funcionament de les accions del Projecte de Vida-Pla de treball per part de la persona, amb la orientació i suport de les i els professionals referents de cada servei.
[07] El procés finalitza amb la proposta de sortida del servei per part del servei/s o de comunicació de sortida per part de la persona participant. Sempre que sigui possible es consensua i/o comunica la decisió entre les parts interessades.
II. OPERATIVA A BASE DE DADES
1. Definició de les accions del Projecte de vida.
[01] Aquest procés s’inicia amb la posada en funcionament de les accions del Projecte de Vida-Pla de treball per part de la persona, amb la orientació i suport de les i els professionals referents de cada servei.
[2][3][4] Durant l’any: Desenvolupament del PV-PT i revisions intermèdies (mínim una als 6 mesos)
Per registrar les accions que durà a terme la persona participant, anem a la pantalla inicial, on estan les dades generals de la persona participant. Al menú de la dreta cliquem sobre PV/PT.

Quan obrim el pla de treball i cliquem el botó + per afegir una acció.

Una vegada la persona s’ha incorporat al servei, el cicle anual es gestiona:
[1] Gener: obertura del cicle anual amb definició o revisió del Projecte de vida i del Pla de treball (la primera Escala de QV s’ha realitzat al Procés de Valoració).
[2] [3] [4] Durant l’any: Desenvolupament del PV-PT i revisions intermèdies (mínim una als 6 mesos).
Els i les professionals referents duen a terme el seguiment del mateix i el registren a l’apartat corresponent de la BD (Seguiment genèric del cas o Seguiment dels objectius), amb una freqüència mínima d’un cop al mes.
A continuació es registraran les accions especificant la data, el servei des del qual es fa l’acció, les persones que intervenen en l’acció, professional i l’acció en si mateixa.

2. Enregistrar un seguiment d’un objectiu
Per poder registrar el seguiment a base de dades, accedim de la següent manera:
Entrem a la pantalla de dades generals de la persona participant i al menú de la dreta, clicam sobre PV-PT.
Una vegada hem entrat al pla de treball de la persona participant, cliquem sobre el pla de treball.

A més dels instruments lligats a PV-PT, es fan servir els propis de cada Servei.
Una vegada hem clicat, s’obrirà aquesta pantalla i hem de clicar sobre seguiment del objectiu.

Ens apareixerà la següent pantalla on podrem escriure la data i el desenvolupament del seguiment realitzat.

[5] Desembre: Avaluació anual i tancament de cicle anual amb revisió del PV, avaluació d’objectius del PT (assolit-no assolit-en procés) i Escala QV. Es genera l’Informe d’avaluació anual.
3. Avaluació d’objectius
Per poder enregistrar l’avaluació dels objectius, accedim de nou a la pantalla del PV/PT i cliquem damunt resultat, especificant la data d’avaluació.

[6] Gener any següent: Reinici del nou cicle (els objectius de l’any anterior es poden mantenir, però s’ha de realitzar una nova versió del PV-PT).
En el cas de persones que s’incorporen al servei en qualsevol altre moment de l’any, es realitzarà el procediment de la mateixa manera adaptant les actuacions al moment al qual es troba. Incorporant el cicle anual a l’any següent.
Durant tot el procés els / les professionals referents de cada servei implicat participen a les sessions de definició inicial, revisió semestral i avaluació anual del PV-PT juntament amb la persona usuària. La resta d’accions i seguiment es pot dur a terme independentment des de cada servei, amb les coordinacions adients per a un desenvolupament òptim del treball amb la persona.
Durant tot el procés la persona participa activament en la presa de decisions, el desenvolupament i l’avaluació del seu PV-PT.
[07] El procés finalitza amb la proposta de sortida del servei per part del servei/s o de comunicació de sortida per part de la persona participant. Sempre que sigui possible es consensua i/o comunica la decisió entre les parts interessades.
Es registra a la BBDD, iniciant així el procés de tancament.
